必应染料-您身边的染料专家

2,4-Dinitrophenol

Name: 2,4-Dinitrophenol

CA Name: Phenol,2,4-dinitro-

Molecular Structure:

2,4-Dinitrophenol,Phenol,2,4-dinitro-,CAS 51-28-5,184.11,C6H4N2O5

2,4-Dinitrophenol,Phenol,2,4-dinitro-,CAS 51-28-5,184.11,C6H4N2O5

Molecular Formula:C6H4N2O5

Molecular Weight: 184.11

CAS Registry Number: 51-28-5 Read the rest of this entry »

2,4-Dinitro-6-chloroaniline

Name: 2,4-Dinitro-6-chloroaniline

CA Name: Benzenamine,2-chloro-4,6-dinitro-

Molecular Structure:

2,4-Dinitro-6-chloroaniline,Benzenamine,2-chloro-4,6-dinitro-,CAS 3531-19-9,218.00,C6H4ClN3O4

2,4-Dinitro-6-chloroaniline,Benzenamine,2-chloro-4,6-dinitro-,CAS 3531-19-9,218.00,C6H4ClN3O4

Molecular Formula:C6H4ClN3O4

Molecular Weight: 218.00

CAS Registry Number: 3531-19-9 Read the rest of this entry »

2-Amino-3,4,6-trichlorophenol

Name: 2-Amino-3,4,6-trichlorophenol

CA Name: Phenol,2-amino-3,4,6-trichloro-

Molecular Structure:

2-Amino-3,4,6-trichlorophenol,Phenol,2-amino-3,4,6-trichloro-,CAS 6358-15-2,212.46,C6H4Cl3N

2-Amino-3,4,6-trichlorophenol,Phenol,2-amino-3,4,6-trichloro-,CAS 6358-15-2,212.46,C6H4Cl3N

Molecular Formula:C6H4Cl3NO

Molecular Weight: 212.46

CAS Registry Number: 6358-15-2 Read the rest of this entry »

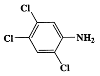
2,4,5-Trichloroaniline

Name: 2,4,5-Trichloroaniline

CA Name: Benzenamine,2,4,5-trichlor-

Molecular Structure:

2,4,5-Trichloroaniline,Benzenamine,2,4,5-trichlor-,CAS 636-30-6,196.00,C6H4Cl3N

2,4,5-Trichloroaniline,Benzenamine,2,4,5-trichlor-,CAS 636-30-6,196.00,C6H4Cl3N

Molecular Formula:C6H4Cl3N

Molecular Weight: 196.00

CAS Registry Number: 636-30-6 Read the rest of this entry »

2,4-Dichlororesorcinol

Name: 2,4-Dichlororesorcinol

CA Name: 1,3-Benzenediol,2,4-dichloro-

Molecular Structure:

2,4-Dichlororesorcinol,1,3-Benzenediol,2,4-dichloro-,CAS 16606-61-4,179.00,C6H6Cl2O2

2,4-Dichlororesorcinol,1,3-Benzenediol,2,4-dichloro-,CAS 16606-61-4,179.00,C6H6Cl2O2

Molecular Formula:C6H6Cl2O2

Molecular Weight: 179.00

CAS Registry Number: 16606-61-4 Read the rest of this entry »