必应染料-您身边的染料专家

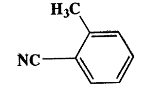
2-Methylbenzonitrile

Name: 2-Methylbenzonitrile

CA Name: Benzonitrile,2-methyl-

Molecular Structure:

2-Methylbenzonitrile,Benzonitrile,2-methyl-,CAS 529-19-1,117.15,C8H7N

2-Methylbenzonitrile,Benzonitrile,2-methyl-,CAS 529-19-1,117.15,C8H7N

Molecular Formula:C8H7N

Molecular Weight: 117.15

CAS Registry Number: 529-19-1

List of synthetic dyes :

C.I.Fluorescent Brightener 199


One Response to “2-Methylbenzonitrile”

  1. […] Methods :2-Methylbenzonitrile chloride with chlorine, with Triethyl phosphite ester, and Terephthalaldehyde and Sodium […]

Leave a Reply